Home | Webstore
Latest News: OOTP 26 Available - FHM 12 Available - OOTP Go! Available

Out of the Park Baseball 26 Buy Now!

  

Go Back   OOTP Developments Forums > Prior Versions of Our Games > Earlier versions of Out of the Park Baseball > Earlier versions of OOTP: General Discussions

Earlier versions of OOTP: General Discussions General chat about the game...

Reply
 
Thread Tools
Old 11-26-2003, 07:53 PM   #1
Ktulu
Hall Of Famer
 
Join Date: Feb 2003
Location: BC
Posts: 4,510
Relationship between range and fielding pct.

I am trying to figure out the relationship between range and fielding pct for the purpose of scouting/evaluating players, mainly for ranking my minor league system. A few examples of what Im looking for: is a B/980 shortstop better than a A/960 shortstop or a E/990 2b vs a A/950 etc.

For instance if you had a table and could fill in the blanks how would you rate players(same position) on say a scale of 1-5:

___990___985___980___970___ 960___950___<950
A__ 5 ____ 5 ____ 4 ____ 4_____3_____3______2
B__ 5 ____ 4 ____ 3 ____ 3 ____ 2 ____2 _____ 1
C__ 4 ____ 4 ____ 3 ____ 3 ____ 2 ____2 _____ 1
D__ 4 ____ 3 ____ 3 ____ 2 ____ 1 ____1 ____ 1
E__ 3 ____ 3 ____ 2 ____ 1 ____ 1 ____1 ____ 1

Those numbers are just thrown in there to give you an idea what im looking for.

Interested to see what input some of you can provide, thanks.
Ktulu is offline   Reply With Quote
Old 11-26-2003, 09:02 PM   #2
lynchjm24
All Star Reserve
 
Join Date: Jun 2002
Location: Hartford
Posts: 978
Infractions: 0/1 (1)
I would guess that range is much more valuable then fielding percentage. An error in the infield is really no more damaging then a ball you can't get to.

I'm talking about a real life application, I don't know how much the different range values in the game are worth. But I think that is how you would have to approach it.

A/960 SS
1000 plays - 40 errors
B/980 SS
1000 plays - 20 errors

Is an A range going to get to more then 20 extra balls over 1,000 'plays' versus a B range. I would guess yes just from the studies that show a fielder a SS is worth 7 games over an E fielder in OOTP (or something like that).
lynchjm24 is offline   Reply With Quote
Old 11-27-2003, 03:34 AM   #3
Vajracchedika
Minors (Rookie Ball)
 
Vajracchedika's Avatar
 
Join Date: May 2003
Posts: 36
I agree that range is much more important than fielding percentage, unless the errors involved are in situations with runners in scoring position, and especially if they are throwing errors. A throwing error is usually a lot more costly than simply failing to field the ball.

But I have an additional question. Have any of you studied how frequently an A or B range is paired with a relatively poor fielding percentage? Or vice versa? Typically, players with great range are also great defensive players in terms of avoiding errors. Sure, they might sometimes increase their own errors because they can get to more balls and put themselves into more situations to commit a throwing error or botch a play, but, generally, range and defense should go together.

If there are too many instances where range and fielding percentage don't match up very well, then maybe this should be adjusted. But this is not something that I've tracked or looked into so far.

By the way, while we're on the topic of range and defense, does anyone know if OOTP uses the Range Factor statistic to determine the right range and throwing arm ratings in the outfield?
Vajracchedika is offline   Reply With Quote
Old 11-27-2003, 03:45 AM   #4
Skipaway
Hall Of Famer
 
Skipaway's Avatar
 
Join Date: Apr 2003
Location: Where you live
Posts: 11,017
Quote:
Originally posted by Vajracchedika

But I have an additional question. Have any of you studied how frequently an A or B range is paired with a relatively poor fielding percentage? Or vice versa? Typically, players with great range are also great defensive players in terms of avoiding errors. Sure, they might sometimes increase their own errors because they can get to more balls and put themselves into more situations to commit a throwing error or botch a play, but, generally, range and defense should go together.
I'm not sure about what's the situation in the game, but in real life, fielding percentage didn't correlate well with either range factors or zone ratings.
__________________
Jonathan Haidt: Moral reasoning is really just a servant masquerading as a high priest.
Skipaway is offline   Reply With Quote
Old 11-27-2003, 03:49 AM   #5
Skipaway
Hall Of Famer
 
Skipaway's Avatar
 
Join Date: Apr 2003
Location: Where you live
Posts: 11,017
Quote:
Originally posted by Vajracchedika

By the way, while we're on the topic of range and defense, does anyone know if OOTP uses the Range Factor statistic to determine the right range and throwing arm ratings in the outfield?
Perhaps we should ask the roster creators this question. A week ago draven085 was actually asking about people's opinion on this in the talk sports forum for his roster set. Personally I would prefer zone ratings for range over range factors.

Roster creators are the ones assigning those values. For fictional leagues, this question is moot.
__________________
Jonathan Haidt: Moral reasoning is really just a servant masquerading as a high priest.
Skipaway is offline   Reply With Quote
Old 11-27-2003, 04:12 AM   #6
kq76
Global Moderator
 
kq76's Avatar
 
Join Date: Nov 2002
Posts: 11,812
Ktulu, I think you'd have to have a table for each position, or groups of positions. What I mean is, I'd say that for some positions, range is critical and fielding % is not, where at others the opposite is true.

As for my ranking opinions, I don't know. I pretty much look at a player and think, does he have the minimum range and fielding % I want at that position? And I usually base those judgements off what is available in the league, so say if a league mainly has crappy 2B, well then my minimum will be lower. If the guy doen't fit that minimum, I then ask if I can get one that does but isn't too much of a downgrade offensively. So, the point is, it's not just those defensive ratings that you need to take into account, but their offensive stats, the supply, a number of things.

Quote:
Originally posted by Skipaway
Personally I would prefer zone ratings for range over range factors.
Same here. Range factors are garbage.
kq76 is offline   Reply With Quote
Old 11-27-2003, 04:39 AM   #7
Skipaway
Hall Of Famer
 
Skipaway's Avatar
 
Join Date: Apr 2003
Location: Where you live
Posts: 11,017
Quote:
Originally posted by kq76

Same here. Range factors are garbage.
I found something interesting: I did correlation charts of RF vs. field% for both SSs and 2Bs this year. There is a very slight correlation telling us the better the RF, the worse the field%.
__________________
Jonathan Haidt: Moral reasoning is really just a servant masquerading as a high priest.
Skipaway is offline   Reply With Quote
Old 11-27-2003, 05:02 AM   #8
kq76
Global Moderator
 
kq76's Avatar
 
Join Date: Nov 2002
Posts: 11,812
Can you really draw anything from that though when what goes into range factors is largely out of a player's control? I can't. Sure, ZR has its problems too, but it is much much better than RF. Now if you came up with those results with ZR instead of RF, I'd be quite intrigued as I assume like Vajra does that, for the most part at least, "players with great range are also great defensive players in terms of avoiding errors". I might very well be surprised though, who knows.
kq76 is offline   Reply With Quote
Old 11-27-2003, 05:18 AM   #9
Vajracchedika
Minors (Rookie Ball)
 
Vajracchedika's Avatar
 
Join Date: May 2003
Posts: 36
Take a look at history. Look at some top flight outfielders like Richie Ashburn, Willie Mays, Cesar Cedeno, and Gary Maddox. Historically, the correlation between RF and fielding percentage is undeniable, at least for those who would truly deserve an 'A' range or had a very high fielding percentage. All of these players, and many others throughout history, had high fielding percentages while also posting significant putout and assist numbers. This would seem to indicate that the better their range, the more likely they are to be good fielders, and vice versa.

Look at shortstops like Concepcion, Banks, and and Ozzie Smith. They all had RFs that were significantly higher than the league average for most of their seasons, and they also had high fielding percentages. Granted, these are some of the greats of all time, and the overall averages might not show such a strong correlation. But that is basically my point.

If we're talking about players with truly great range, of the 'A' variety, then chances are that those will be top flight defensive players, and they should be more likely to have high fielding percentages.

I think it's probably more likely to see lesser correlation when we're talking about players who are average or maybe a bit above or below average. That's where I think it would be more likely for a player to have, say, a 'B' range with a fielding percentage of .945 at shortstop. Or maybe we'd see a 'D' range with a higher than expected fielding percentage like .975 at shortstop.

Those cases probably balance out the numbers so that we don't see as much of a correlation on the average. But when we're talking about players with an 'A' range, I think that the majority of them would be the most likely to have high fielding percentages, like .960 to .980 for shortstops and .980 to .995 for outfielders. Those with an 'E' range would probably be the most likely to have the worst fielding percentages as well.

But there is always room for debate.
Vajracchedika is offline   Reply With Quote
Old 11-27-2003, 05:23 AM   #10
Skipaway
Hall Of Famer
 
Skipaway's Avatar
 
Join Date: Apr 2003
Location: Where you live
Posts: 11,017
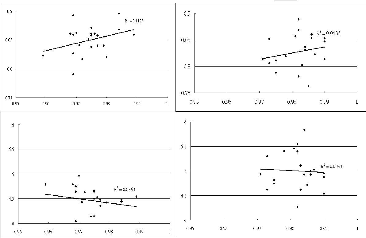
The left side two are SS this year, right side 2B.
The top two are ZR vs. fielding%. The bottem two RF vs. fielding%.

I'd say all correlation very weak. I think the issue here is we don't know what percentage of the errors are throwing errors. Throwing is surely an ability completely different from getting to the ball.
Attached Images
Image 
__________________
Jonathan Haidt: Moral reasoning is really just a servant masquerading as a high priest.
Skipaway is offline   Reply With Quote
Old 11-27-2003, 05:27 AM   #11
Skipaway
Hall Of Famer
 
Skipaway's Avatar
 
Join Date: Apr 2003
Location: Where you live
Posts: 11,017
Quote:
Originally posted by Vajracchedika
I think it's probably more likely to see lesser correlation when we're talking about players who are average or maybe a bit above or below average. That's where I think it would be more likely for a player to have, say, a 'B' range with a fielding percentage of .945 at shortstop. Or maybe we'd see a 'D' range with a higher than expected fielding percentage like .975 at shortstop.
I was wondering perhaps there are really very little correlation between a player's range and a player's ability to avoid errors.

It's just that when a player happens to have both abilities, we'd remember them as great fielders, while a player happens to lack both, we'd remember them as terrible fielders. Human mind tends to forget all those others inbetween who got half set of the skills.
__________________
Jonathan Haidt: Moral reasoning is really just a servant masquerading as a high priest.
Skipaway is offline   Reply With Quote
Old 11-27-2003, 12:52 PM   #12
Vajracchedika
Minors (Rookie Ball)
 
Vajracchedika's Avatar
 
Join Date: May 2003
Posts: 36
Yes, but you're basing your hypothesis about lesser correlation on one season, and particularly on a time in baseball when many statistics are competely bastardized. Can you try to run an analysis of a few past seasons at random? Like one each from the 80's, 70's, 60's, and 50's?
Vajracchedika is offline   Reply With Quote
Old 11-27-2003, 01:34 PM   #13
lynchjm24
All Star Reserve
 
Join Date: Jun 2002
Location: Hartford
Posts: 978
Infractions: 0/1 (1)
Quote:
Originally posted by Skipaway


Throwing is surely an ability completely different from getting to the ball.
I'd disagree with that. I would guess that a lot of throwing errors are on rushed throw. A quicker first step and better range would give a fielder more time to make a throw. Arm strength might be independant of range, but I don't think you can separate the two. Especially when the player you are throwing the ball to can't be controlled for.
lynchjm24 is offline   Reply With Quote
Old 11-27-2003, 08:16 PM   #14
Skipaway
Hall Of Famer
 
Skipaway's Avatar
 
Join Date: Apr 2003
Location: Where you live
Posts: 11,017
Quote:
Originally posted by Vajracchedika
Yes, but you're basing your hypothesis about lesser correlation on one season, and particularly on a time in baseball when many statistics are competely bastardized. Can you try to run an analysis of a few past seasons at random? Like one each from the 80's, 70's, 60's, and 50's?
I'm afraid that's not really possible. Range factor is a meaningless stat, so any correlation with that would be also pointless. As for Zone Ratings, it's a modern stat calculated by fielding charts. We don't really have that available for old times. I'll try to check more seasons and positions though.
__________________
Jonathan Haidt: Moral reasoning is really just a servant masquerading as a high priest.
Skipaway is offline   Reply With Quote
Old 11-27-2003, 08:18 PM   #15
Skipaway
Hall Of Famer
 
Skipaway's Avatar
 
Join Date: Apr 2003
Location: Where you live
Posts: 11,017
Quote:
Originally posted by lynchjm24
I'd disagree with that. I would guess that a lot of throwing errors are on rushed throw. A quicker first step and better range would give a fielder more time to make a throw. Arm strength might be independant of range, but I don't think you can separate the two. Especially when the player you are throwing the ball to can't be controlled for.
So perhaps you can offer a better explanation of the correlation charts?
__________________
Jonathan Haidt: Moral reasoning is really just a servant masquerading as a high priest.
Skipaway is offline   Reply With Quote
Old 11-27-2003, 09:16 PM   #16
Skipaway
Hall Of Famer
 
Skipaway's Avatar
 
Join Date: Apr 2003
Location: Where you live
Posts: 11,017
ESPN only got data for the past 3 years. So I took a look at SS ZR vs. fielding% for 2001~2003. The correlation is stronger, but is still hardly convincing.

Something interesting:

For the past 3 years, the most extreme good fielding%, bad ZR ( In other words, most overrated by fielding%):

1. Derek Jeter
2. Cristian Guzman
3. Tony Womack

Most underrated by fielding%:
1. David Eckstein
2. Edgar Renteria
3. Jose Valentin

These are the players farest from the correlation line.
Attached Images
Image 
__________________
Jonathan Haidt: Moral reasoning is really just a servant masquerading as a high priest.
Skipaway is offline   Reply With Quote
Old 11-27-2003, 09:28 PM   #17
Skipaway
Hall Of Famer
 
Skipaway's Avatar
 
Join Date: Apr 2003
Location: Where you live
Posts: 11,017
CF for the last 3 years. Apparently there is nearly no correlations.

Top 3 overrated by fielding%:
1. Preston Wilson
2. Bernie Williams
3. Steve Finley

Interestingly Andruw Jones, a highly regarded defensive CF, is ranked third. His ZR has been declining rapidly the last 3 years.

Top 3 underrated by fielding%:
1. Mike Cameron
2. Carlos Beltran
3. Darin Erstad
Attached Images
Image 
__________________
Jonathan Haidt: Moral reasoning is really just a servant masquerading as a high priest.
Skipaway is offline   Reply With Quote
Old 11-28-2003, 01:51 PM   #18
lynchjm24
All Star Reserve
 
Join Date: Jun 2002
Location: Hartford
Posts: 978
Infractions: 0/1 (1)
I'm not sure if you are expecting to see correlation or not. I wouldn't expect to see any correlation in what you've studied. I think you'd be better off with a better defensive metric like UZR that is much more accurate then ZR.
lynchjm24 is offline   Reply With Quote
Old 11-28-2003, 09:55 PM   #19
Vajracchedika
Minors (Rookie Ball)
 
Vajracchedika's Avatar
 
Join Date: May 2003
Posts: 36
Well, until I see numbers from the 50's, 60's, and 70's, I'm not going to conclude that the correlation is minimal. To me, it's straight forward. Range Factor clearly tabulates outfield putouts and assists. You can't argue with the fact that many great defensive players have put up much larger assist numbers from the outfield than other players. Those assists are part of RF, but if you want to throw out RF, then just look at the assists. A player with great range is going to have more chances to cut down hits into the gap and make shorter throws. And they may also tend to have better throwing arms. The assist numbers clearly support this. You often see high assist totals for players with, say, a .989 fielding percentage in the outfield. They didn't just get all of those assists because the baserunners were slow.

But there is no data exists for ZR before 2000, so if everyone is going to insist on using ZR, then I think the debate is pointless. I'm sorry, but it makes no sense to judge the correlation based on players who are playing at a time when defense is valued less than it ever has been before, and the home run ball has completely morphed the game into some kind of bastardized form. What use is emphasizing great defense when a one or two-run lead is never safe under any circumstances? And do all the steroids have an effect on throwing ability or range, or both? We'll probably never know.
Vajracchedika is offline   Reply With Quote
Old 11-28-2003, 10:32 PM   #20
Skipaway
Hall Of Famer
 
Skipaway's Avatar
 
Join Date: Apr 2003
Location: Where you live
Posts: 11,017
Quote:
Originally posted by Vajracchedika
Well, until I see numbers from the 50's, 60's, and 70's, I'm not going to conclude that the correlation is minimal. To me, it's straight forward. Range Factor clearly tabulates outfield putouts and assists. You can't argue with the fact that many great defensive players have put up much larger assist numbers from the outfield than other players. Those assists are part of RF, but if you want to throw out RF, then just look at the assists. A player with great range is going to have more chances to cut down hits into the gap and make shorter throws. And they may also tend to have better throwing arms. The assist numbers clearly support this. You often see high assist totals for players with, say, a .989 fielding percentage in the outfield. They didn't just get all of those assists because the baserunners were slow.

But there is no data exists for ZR before 2000, so if everyone is going to insist on using ZR, then I think the debate is pointless. I'm sorry, but it makes no sense to judge the correlation based on players who are playing at a time when defense is valued less than it ever has been before, and the home run ball has completely morphed the game into some kind of bastardized form. What use is emphasizing great defense when a one or two-run lead is never safe under any circumstances? And do all the steroids have an effect on throwing ability or range, or both? We'll probably never know.
Any proof on RF being a viable measurement on fielding ability? there are already lots of study showed it's meaningless.

Any proof on OF assists being a viable measurement on arm strength? I thought everyone, statheads or not, believes lots of OFs with great arms have low assists because nobody dared to run on them.

Any data on your fielding% vs. asisst claim? and do you know how small a percentage does assists usually contribute in OF range factors? Willie Mays got less than 200 assists to go with his over 7000 putouts.

And I don't know the point of mentioning steroids. Perhaps those old timers field were only good because of all the greenies.

Any reason on defense is valued less means anything to this study? Any proof that defense was worse today than before? Or are they playing different games? I don't know a good way to do that, but at least defensive win shares showed lots of recent players are among the all time fielding greats, and there are always some iron gloves in the league in all eras.

ZR has been around since the 80s. Just can't find them on the net. As for UZR, it's available for even less years, and I think it's been shown that ZR isn't that much worse from UZR, unless you are going for detailed player comparisons.
__________________
Jonathan Haidt: Moral reasoning is really just a servant masquerading as a high priest.
Skipaway is offline   Reply With Quote
Reply

Bookmarks


Posting Rules
You may not post new threads
You may not post replies
You may not post attachments
You may not edit your posts

BB code is On
Smilies are On
[IMG] code is On
HTML code is Off

Forum Jump


All times are GMT -4. The time now is 03:25 PM.

 

Major League and Minor League Baseball trademarks and copyrights are used with permission of Major League Baseball. Visit MLB.com and MiLB.com.

Officially Licensed Product – MLB Players, Inc.

Out of the Park Baseball is a registered trademark of Out of the Park Developments GmbH & Co. KG

Google Play is a trademark of Google Inc.

Apple, iPhone, iPod touch and iPad are trademarks of Apple Inc., registered in the U.S. and other countries.

COPYRIGHT © 2023 OUT OF THE PARK DEVELOPMENTS. ALL RIGHTS RESERVED.

 

Powered by vBulletin® Version 3.8.10
Copyright ©2000 - 2026, vBulletin Solutions, Inc.
Copyright © 2024 Out of the Park Developments